Ich weiß überhaupt nicht wo ich anfangen soll...
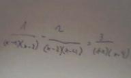
(1)/(x-1)*(x-2)-(2)/(x-2)*(x-4)=(3)/(1-x)*(x-4)
Ich hoffe ihr versteht die Gleichung...kann sie nicht besser schreiben!!!
Danke im Vorraus
geschrieben 02. Oktober 2006 - 13:07
geschrieben 02. Oktober 2006 - 13:49
geschrieben 02. Oktober 2006 - 15:17
geschrieben 02. Oktober 2006 - 17:41

geschrieben 02. Oktober 2006 - 17:44
geschrieben 02. Oktober 2006 - 18:44
geschrieben 02. Oktober 2006 - 18:47
geschrieben 02. Oktober 2006 - 18:57
geschrieben 02. Oktober 2006 - 19:02
geschrieben 02. Oktober 2006 - 19:06

geschrieben 02. Oktober 2006 - 19:08
geschrieben 02. Oktober 2006 - 19:13

geschrieben 02. Oktober 2006 - 19:18