Hausaufgaben-hilfe-thread ...Ihr habt Aufgaben, bei denen Ihr verzweifelt? Dann hier rein.
Anzeige
#362
geschrieben 08. Februar 2008 - 17:57
#363
geschrieben 08. Februar 2008 - 18:06
#364
geschrieben 08. Februar 2008 - 19:30
Zitat (IceSupra: 08.02.2008, 17:56)
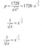
Soll das ganze so aussehen?
[Siehe Anhang]
genau so so steht es in meinen unterlagen.
wie soll das denn funktionieren?
#365
geschrieben 08. Februar 2008 - 19:34
x hoch -1 ist 1/(x hoch 1)
und wurzel(x) is halt x^(1/2)
dritte wurzel(x) is x^(1/3) usw...
#366
geschrieben 08. Februar 2008 - 20:41
#367
geschrieben 08. Februar 2008 - 21:42
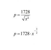
wie kann ich denn die formel aus word hierein exportieren?
c&p kommt folgendes dabei raus:
1728/√x³
√x³=x³hoch0,5=xhoch3+0,5=xhoch3,5
#368
geschrieben 08. Februar 2008 - 23:15
#369
geschrieben 16. Februar 2008 - 00:50
also wenn ich demnächst schwierigkeiten hab, ich weiß ja an wen ich mich zu wenden hab
kennt ihr euch auch mit matritzen aus?!
~-!Klick mich!-~
*Dies soll kein betteln darstellen, mit eurem klick bestätigt ihr,
dass ihr diesen völlig freiwillig getätigt habt!
_________________________________________________
#370
geschrieben 16. Februar 2008 - 10:08
Ja, Matrizen sind super... Frag doch erstmal, irgendwer wird sich schon melden.
Falls du noch viele, viele Fragen mehr zu Mathe hast, dann schau doch mal bei www.matheplanet.com vorbei.
S
#371
geschrieben 24. Februar 2008 - 16:53
Es geht um Nominalisierungen, hier nominalisierte Adjektive
das Nass
etwas Schönes
Ich kann mir Schöneres vorstellen, als...
das Interessante
etwas Unangenehmes
1) Ist das alles richtig?
2) Sind das alles nominalisierte Adjektive?
(Dann ist in meinem Sprachbuch ein Fehler, dort ist für den Text von nur 4 nom. Adj. die Rede)
Dieser Beitrag wurde von shadar.logoth bearbeitet: 24. Februar 2008 - 16:57
#372
geschrieben 25. Februar 2008 - 21:57
#373
geschrieben 25. Februar 2008 - 22:46
verstehe ich nicht
#374
geschrieben 26. Februar 2008 - 14:38
ich muss für Kunst ein Fachwerkhaus mit 2 Fluchtpunkten zeichnen. Kann mir jemand eins zeigen (mit nem Link oder so) bei dem man das Holz gut sieht ?
Bitte helft mir ich brauche es für morgen !!!
Mfg. GeForce
#375
geschrieben 26. Februar 2008 - 14:44
Zitat (GeForce: 26.02.2008, 14:38)
ich muss für Kunst ein Fachwerkhaus mit 2 Fluchtpunkten zeichnen. Kann mir jemand eins zeigen (mit nem Link oder so) bei dem man das Holz gut sieht ?
http://images.google...hwerkhaus&hl=de

Hilfe
Neues Thema
Antworten
Nach oben






